CSAPP 02 - 二进制
计算机是二进制的世界。
基础
所谓二进制,简单来说就是只用 0 和 1 来表示所有的信息。与二进制密切相关的还有八进制和十六进制。尤其是十六进制,在计算机中应用十分广泛。
计算机使用字节作为最小的可寻址的内存单位。机器级程序将内存视为一个很大的字节数组,内存中每个字节都由一个唯一的数字来标识,称为它的地址。
寻址和端序
对于一个跨越多字节的程序对象,有以下两个核心问题要解决:
- 寻址:规定一个多字节对象的地址就是其使用字节中最小的地址。
- 存储:几乎所有的计算机中,对象都被储存为连续的字节序列。
即使是连续储存字节序列,也有端序问题,有两种基础的端序:小端序和大端序。对于四字节整数 0x01234567,两种端序的储存排列如下:

大多数 Intel 兼容机只使用小端序,一些处理器如 PowerPC 和 MIPS 使用大端序。现在许多新的机器支持双端法。但是注意:一旦选择了特定的操作系统,字节顺序也就固定下来了。
字符串
C 语言中的字符串编码为一个以 NULL (0) 结尾的字符数组。
字符串的储存没有端序问题,因而,文本数据比二进制数据具有更强的平台独立性。
整数
布尔代数
针对 0 和 1 两个数字,定义下列四种运算:
| Operator | Meaning | Usage |
|---|---|---|
| ~ | NOT | ~1 = 0 |
| & | AND | 1 & 1 = 1 |
| | | OR | 1 | 0 = 1 |
| ^ | EXCLUSIVE OR | 1 ^ 0 = 1 |
将运算扩展到 w 位上:对于多位的二进制数字执行布尔运算,即对其每个位分别执行布尔运算。有几条常用的规律:
- & 和 | 的分配律
a & (b | c) = (a & b) | (a & c)
a | (b & c) = (a | b) & (a | c)
- ^ 0 和 ^ 1
0 ^ a = a
1 ^ a = ~b
- ^ 的技巧
注意:连续的 ^ 运算可以交换顺序,所以有下列性质。
(a ^ b) ^ a = b
位级运算
C 语言中还有一组逻辑运算符:||,&& 和 !,逻辑运算表达式的结果只有两种:True (1) 或 False (0)。对于一个数而言,值为非 0 则代表 True,否则为 False。
移位运算
对于一个 w 位的二进制数 x,将其看作一个位向量,表示为:x = [xw-1, xw-2, …, x0]
- 左移操作
x 左移 k 位:丢弃其最高的 k 位,并在右端补上 k 个 0:[xw-k-1, xw-k-2, …, x0, 0, …, 0]
- 右移操作
- 逻辑右移 (无符号数):和左移正好相反,丢弃最低的 k 位,在左端补上 k 个 0。
- 算术右移 (有符号数):丢弃最低 k 位,在左端补上 k 个最高有效位的值,即:[xw-1, …, xw-1, xw-2, …, xk]。
几乎所有的编译器机器组合都对有符号数使用算术右移操作。
无符号数
无符号数只能表示大于等于 0 的数字,其使用原码编码:

范围
一个 w 位的无符号数,其最大值的位向量表示为 [1, 1, …, 1]。即 Umin = 0,Umax = 2w - 1。
并且 B2Uw 和 U2Bw 是一个双射,即对于一个确定位数的无符号数,其二进制表示和十进制表示是唯一对应的。
扩展
无符号数的扩展称作零扩展。将一个 w 位的无符号数扩展为一个 k 位 (k > w) 的无符号数,即在原来位向量的左端添加 k - w 个 0 得到新的无符号数。
src: [Xw-1, ..., X0]
new: [0, ..., 0, Xw-1, ..., X0]
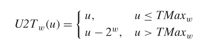
U2T
一个 w 位的无符号数转换为一个 w 位的有符号数,就是简单地重新解释即可,数学规律对应如下:

对于提升转换即,一个 w 位的无符号数转换位一个大于 w 位 (k) 的有符号数:
-
首先进行
零扩展得到一个新的无符号数。 -
然后重新解释。
对于提升而言,转换后的有符号数显然是一个等于原数字的正数。

截断
一个 w 位的无符号数截断为一个 k 位 (k < w) 的无符号数,即删除前 w - k 位,然后重新解释即可。
B2Uk([Xk-1, ..., X0]) = B2Uw([Xw-1, ..., X0]) mod 2^k
加减
两个 w 位的无符号数加法,结果可能需要 w + 1 位来表示,此时会发生溢出。

对于两个无符号数 x 和 y,他们的加法结果 z 发生溢出的条件是:z < x || z < y。
对于减法,应将减数转换为无符号数的逆元后再执行加法:

有符号数
有符号能表示 0,负数和正数,其使用补码编码:

范围
一个 w 位的有符号数,其最小值的位向量表示为 [1, 0, …, 0],最大值的位向量表示为 [0, 1, …, 1]。即 Tmin = 2(w-1)。Tmax = 2(w-1) - 1。
并且 B2Tw 和 T2Bw 是一个双射,即对于一个确定位数的有符号数,其二进制表示和十进制表示是唯一对应的。
扩展
有符号数的扩展称作符号扩展。将一个 w 位的有符号数扩展为一个 k 位 (k > w) 的有符号数,即在原来位向量的左端添加 k - w 个最高有效位得到新的有符号数。
src: [Xw-1, ..., X0]
new: [Xw-1, ..., Xw-1, ..., X0]
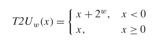
T2U
一个 w 位的有符号数转换为一个 w 位的无符号数,也是简单地重新解释即可,数学规律对应如下:

对于提升转换即,一个 w 位的有符号数转换位一个大于 w 位 (k) 的无符号数:
-
首先进行
符号扩展得到一个新的有符号数。 -
然后重新解释。
对于提升而言,如果原有符号数是一个正数,那么符号扩展的结果也是一个正数,最后得到的也是相等的正数。

截断
一个 w 位的有符号数截断为一个 k 位 (k < w) 的有符号数,即删除前 w - k 位,然后重新解释即可。
B2Tk([Xk-1, ..., X0]) = U2Tk( B2Uw([Xw-1, ..., X0]) mod 2^k )
因为和无符号数的截断过程一致,可以先将其当作无符号数截断,然后再解释为有符号数。
加减
有符号数加法和无符号数具有相同的位级表示,可以将有符号数看作无符号数来运算,将结果再转化回来。
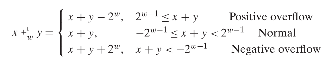
有符号数的加法运算可能有两种溢出,正溢出和负溢出。

对于两个 w 位的有符号数 x 和 y,他们加法结果 z 发生溢出的条件是:
- 正溢出:x > 0 && y > 0 but z < 0
- 负溢出:x < 0 && y < 0 but z > 0
有符号数的减法运算同样使用逆元完成,由于有符号数的范围不对称,采用溢出的方式来定义 Tmin 的逆元:

乘除运算
对于两种整数的乘法而言,他们的位级表示都是一样的,并且:两个 w 位的整数相乘,结果可能需要 2w 位来表示,所以运算结果会进行低位截断。
对于无符号数乘法结果的取值:

对于有符号数乘法结果的取值:

乘法有两种特殊情况可以特殊处理:
- x * 2k:此时可以使用左移操作等价于 x << k
- x * c (c 是常数):可以将 c 分解为 2 次幂数字的和
x * 14 = x * (2^3) + x * (2^2) + x * (2^1)
= (x << 3) + (x << 2) + (x << 1)
x * 14 = x * (2^4) - x * (2^1)
= (x << 4) - (x << 1)
x * 3 = x * (2^1) + x * (2^0)
= (x << 1) + x
整数乘法的结果总是一个整数,但是除法可能出现除不尽的情况,这时候就需要进行舍入操作。C 语言中整数除法都执行向 0 舍入,如 3.14 -> 3,-3.14 -> 3。
考虑一种特殊情况:除数是 2 次幂的除法操作即 x / y,y = 2k。这时可以用右移操作来完成:
- x / 2^k,x > 0:执行逻辑右移即 x >> k,然后向下舍入
- x / 2^k,x < 0:直接进行算术右移会产生偏差,可以给 x 加一个偏置 (bias) 2k - 1 来修正结果即 (x + 2k - 1) / 2k。
两种情况可以由一条表达式综合:
(x<0 ? x + (1<<k) - 1 : x) >> k
混合
在 C/C++ 中,如果一个表达式中同时出现有符号数和无符号数,那么编译器将会隐式的将所有数字看作无符号数,然后再进行求值。
考虑表达式-1 < 0U:因为这里同时出现了有/无符号数,所以他们都被当作无符号数。-1 的位级表示是 0xff…ff,远远大于 0。因此这个表达式反直觉的被求值为 False。
在执行数学运算时,不同位数的几个整数参与运算,结果的位数应该是其中的最大位数。
浮点数
浮点数很适合用来表达很大或很小的数,但是却不能精确的表达每一个数。
二进制小数
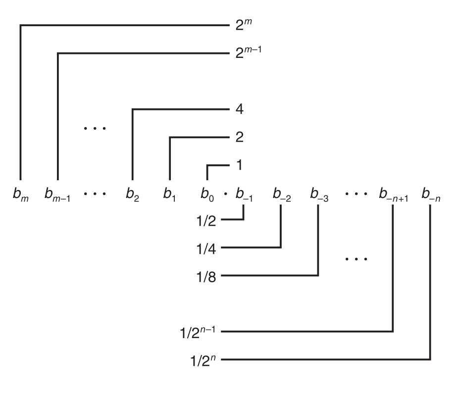
十进制小数可以表示为:dm-1dm-2…d0.d-1…d-n (-1 < d < 10),其数学上等于:

二进制小数的表示与之相类似:bm-1bm-2…b0.b-1…b-n (b = 0 / 1),数学上等于:

就如十进制小数无法精确表示 0.3 一样,二进制小数也不能精确表达 V = x * 2y 外的数字:

对于 0.2 这个数字而言,二进制小数就无法精确表示,如果只用很少位来表示 0.2,实际偏差十分大,但是通过不断的增加位数,就可以不断的提高精度:

IEEE754 编码
二进制小数来表达浮点数虽然简单清晰,但是却太浪费位了,能表达的数字范围太小。IEEE 发布了浮点数编码标准 IEEE754,用类似科学计数法的方式来最大化的利用位,让其能表达更大范围的数字。
IEEE 浮点数使用形式为 V = (-1)s * M * 2E 来表示小数:
- 符号 s:如果 s 为 1,那么 V 就是负数,否则为正数
- 尾数 M:尾数是一个二进制小数,范围在 [1, 2) 或 [0, 1)
- 阶码 E:2 的指数幂,可以是负数,用来给浮点数加权
有两种浮点数类型,根据位数分为单精度和双精度,他们的位分布如下:

根据阶码的值,可以将浮点数分为三类,三类浮点数有不同的用处:

- 规格化的值:0 < e < 0xff…ff
大多数的浮点数都被解释为规格化的值,如 0.1,3.14 等等。规格化值的编码规则:
对于一个阶码为 w 位的浮点数,现在定义其偏置 bias = 2w-1 - 1。
- 阶码 E:此时阶码被定义为 E = e - bias
- 尾数 M:定义尾数 M = 1 + f
据此可以根据公式得出浮点数的数值。
- 非规格化的值:exp = 0
非规格化的值跟 0 有很大关系,他有两个用途:
- 根据符号位,非规格化的值可以表示
+0和-0,他们两个某些方面的属性是不同的 - 用于表示非常趋近于 0 的数,这种属性叫
逐渐溢出,这些可能的数均匀的分布在 0 周围

非规格化的值的编码规则:
- 阶码 E:此时阶码被定义为 E = 1 - bias
- 尾数 M:定义尾数 M = f
- 特殊值:e = 0xff…ff
特殊值也有两种用途,并且是根据小数域 f 进行区分的:
- f = 0:表示无穷,并且根据符号位可以分为
正无穷和负无穷 - f != 0:此时特殊值为
NaN,即 Not a Number
舍入
因为有限位数的浮点数无法解决精度问题,所以根据浮点数来获取数据时要考虑舍入问题,加上之前的整数舍入规则,即向零舍入,IEEE 规定了四种舍入方式:
- 向偶舍入:将一个数舍入到离它最近的边界,1.5,0.5 这样的中间数则舍入到偶数边界 (2 和 0)。这种舍入规则是最常用的,因为它减少了统计偏差
- 向零舍入:与整数舍入规则类似
- 向上舍入
- 向下舍入
运算
IEEE 规定的浮点数的运算规则独立于硬件和软件,但是因为舍入问题,浮点运算不满足一些运算率:
- 不满足加法交换率
(3.14 + 1e10) - 1e10 = 0
3.14 + (1e10 - 1e10) = 3.14
- 不满足乘法结合和分配律
1e20 * (1e20 - 1e20) = 0
1e20 * 1e20 - 1e20 * 1e20 = NaN
C 语言
C 语言标准不要求机器使用 IEEE 浮点,所以没有标准的方法来改变舍入方式或者得到诸如 -0、正无穷、负无穷或 NaN 之类的特殊值。
关于几个类型之间的转换问题:
| From | To | Overflow | Roundoff |
|---|---|---|---|
| int | float | Not | Maybe |
| int | double | Not | Not |
| float | int | Maybe | Maybe |
| float | double | Not | Not |
| double | int | Maybe | Maybe |
| double | flaot | Maybe | Maybe |